
-
2022-08-30固定電阻器和可變電阻器怎么分類,探討電阻器類型及其性能用途!
有許多不同類型的電阻器,它們的組成和其他特性各不相同,以最大限度地發揮其特定功能。下面簡要討論一些電阻器類型及其最佳用途。 線性電阻器 無論流過的電流或施加的電壓如何變化,線性電阻器都會保持其電阻值。因此,電流始終與電壓成正比,V/I保持恒定,使特

-
2022-08-30感應電機各定子繞組工作原理和定子繞組的磁場電流運動方式
感應電動機是使用旋轉機構的任何行業中使用最多的電動機。全球生產的大約50%的電力用于運行感應電動機。電力機車、紡織廠、壓縮機、泵、風扇,甚至你的吹風機——感應電機無處不在。讓我們了解這臺神奇的電機的工作原理。 與任何電動機一樣,感應電動機具有轉子-

-
2022-08-29開關電源優勢有多大,何時使用線性和開關模式電源?
為您的設備選擇電源通常涉及在線性電源或開關電源之間進行選擇。他們每個人都有自己的長處和短處,這將影響您根據需要選擇哪一個。 開關電源的一大優勢是重量更輕、尺寸更小。如果安裝在單元內,這將節省制造商的材料成本和空間。開關電源通常也比線性電源更高效,有

-
2022-08-29電阻器額定功率消耗為多少時,電阻器將發生故障?
功率是隨時間變化的能量,1瓦=1焦耳/秒。功率通常在簡單電路中計算為P(功率,瓦特)=V(電壓,V)*I(產生的電流,A)。組件的額定功率是其散發流經它的功率產生的熱量的能力。任何組件都必須能夠消散在電路中使用時產生的熱能,否則它將失效。由于電阻器

-
2022-08-29無線電力傳輸系統如何工作,電力傳輸的連接方式?
無線電力傳輸是在沒有電線作為物理鏈路的情況下將電能從電源傳輸到電氣負載。它通常由兩個集成電路(IC)控制:一個發射功率(發射器),另一個接收發射功率(接收器)。平面接收器和發射器線圈之間的磁感應有助于無線電力傳輸。接收線圈位于發射線圈上方,在驅動發射線圈時會發生磁耦合。

-
2022-08-28在聲納和超聲波傳感器中,超聲波傳感器和聲納有什么區別?
聲納和超聲波傳感器都使用聲波來檢測和識別遠處的物體。但是,超聲波傳感器專門發射超聲波;即頻率大于人類可聽范圍上限的振動。在聲納和超聲波傳感器中,物體發射或反射的聲波由設備檢測并分析它們包含的信息,從而識別沿其表面的輪廓。 聲納(聲納導航和測距)技術

-
2022-08-27隔離變壓器和統一變壓器初級和次級阻抗的作用是否相同?
由于其初級和次級繞組之間沒有直接的電氣連接,因此變壓器在其輸入和輸出電路之間提供了完全的電氣隔離,并且這種隔離特性也可以用于放大器和揚聲器之間。匝數比為1:1的變壓器不會改變電壓或電流水平,而是將初級電路與次級側隔離。這種變壓器通常被稱為隔離變壓器

-
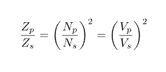
2022-08-27音頻變壓器輸入和輸出阻抗匹配電壓平方比
變壓器可以像處理電壓和電流一樣提高或降低阻抗。雖然它們通過匝數比改變電壓,并且通過匝數比的倒數改變電流,但音頻變壓器通過匝數比的平方改變阻抗。在兩個繞組的每個單線圈匝中感應出相同量的電壓。 因此,初級與次級電壓比 (VP / V


