大功率伺服電機輸出功率如何計算?
發布時間:2021-08-19 15:29:05點擊量:
Y線電機中的功率
下圖顯示了Y線BLAC電機的電氣模型:

任何電機的功率都可以計算為每相功率的總和(RMS電流和RMS電壓的乘積)。在相位平衡電機的情況下:

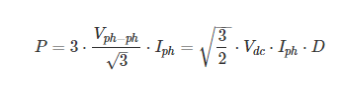
我N A Y型連接馬達,
·相電流(Iph)是在伺服驅動器輸出端子上看到的RMS電流。
·相電壓(Vph)定義為:

其中Vph?ph是伺服驅動器兩個輸出端子之間的RMS電壓差。空間矢量調制(SVM)的使用允許使用所有直流母線電壓作為線電壓幅度。

其中D是應用的占空比。
因此,傳遞給電機功率的功率可以定義為:

Δ線電機中的功率
從伺服驅動器的角度來看,提供給Δ線電機的功率完全相同。但是,電壓和電流值在相位內共享不同:

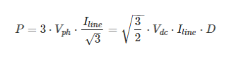
在Δ線電機中:
·相電流(Iph)不是在伺服驅動器上看到的電流。相反,它被定義為:

其中Iine是在伺服驅動器輸出端子上看到的RMS電流。
·相電壓(Vph)是伺服驅動器兩個輸出端子之間的電壓差之間的RMS電壓,定義在(3)中。
因此,Δ接線電機的總功率為:

從伺服驅動器的角度來看,這相當于(4)。


