三相感應電機旋轉磁場的數學分析及分量公式
發布時間:2023-02-01 11:54:52點擊量:
當三相電源饋入三相感應電機的定子繞組時,會產生旋轉磁場(RMF)。磁場的磁極將不會保持在定子上的固定位置,而是繼續圍繞定子移動它們的位置。因此,它被稱為旋轉磁場(RMF)或RMF。
從數學上可以看出,該旋轉磁場的大小是恒定的,等于任何相電流引起的最大磁通量(?m)的1.5倍。旋轉磁場的速度稱為同步速度(NS)。同步速度的值取決于定子上的極數(P)和電源頻率(f)。

旋轉磁場的數學分析
考慮三個相同的線圈,它們在空間中彼此錯開120°。讓這三個線圈由平衡的三相電源供電。因此,每個線圈將產生沿其自身軸的交變磁通量。現在,讓三個瞬時通量由下式給出

此處,?m是任何相中電流引起的磁通量的最大值。相量圖顯示了三個通量。

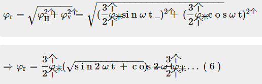
要確定合成通量的大小,請將每個通量分解為水平和垂直分量,然后找到它們的相量和。因此,合成的通量水平分量由下式給出

通量的合成垂直分量由下式給出

合成通量由下式給出

因此,從等式。(6)可見,合成旋轉磁場的大小等于每相磁通最大值(?m)的1.5倍。此外,合成通量(?r)與時間無關,即它是恒定通量。

等式(7)表明角度是時間的函數。

因此,可以看出合成通量在空間中以每秒ω弧度的角速度沿順時針方向旋轉。因此,對于P極的機器

從上述討論中可以得出以下結論-
·平衡三相供電系統的三相電流在電機中產生大小恒定的合成磁通。每個瞬間的通量大小為1.5?m。
·合成磁通量在本質上是旋轉的,并且它以與電源電流相同的角速度旋轉。
·合成磁通的旋轉方向取決于供電系統的相序。


